2024年10月14—18日,智能机器人与系统国际会议(IROS 2024)在阿联酋阿布扎比举行。作为全球规模最大、最具影响力的机器人研究会议之一,IROS每年吸引来自世界各地的科研人员、学者以及行业专家,共同探讨机器人与智能系统领域的最新进展。

本次会议中,光鉴科技的研究成果 C3P-VoxelMap: Compact, Cumulative and Coalescible Probabilistic Voxel Mapping 凭借其创新性成功入选,并作为口头报告(Oral Pitch)展示。该研究提出了在嵌入式平台有限算力下实现 real-time 3D SLAM 的解决方案,为移动机器人自主导航提供了参考设计。
3D SLAM 作为机器人自主导航的核心技术之一,如何在有限的计算和存储资源下实现高精度定位与建图,具有重要的理论和现实意义。
VoxelMap是3D SLAM中广泛使用的地图结构,通过将三维空间划分成相同结构的体素,并利用哈希表进行索引,具有维护简单,访存高效的优势。
然而,常规的VoxelMap在实际中存在局限,难以捕捉真实世界中的大尺度几何特征,例如墙壁、地板和天花板,使得同一个物理平面需要大量体素重复表示。另一方面,固定大小的体素面临 bias-variance trade-off 难题。以下图为例,小体素能更好地捕捉地图细节(bias小),但更容易受噪声影响,尤其是在点云稀疏的情况下(variance大); 相反,大体素可以收集更多观测点来降低方差(variance小),但可能会过度平滑环境,导致表示偏差(bias大)。
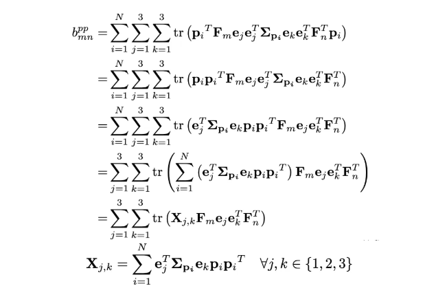
除此之外,Probabilistic VoxelMap 需要存储每个体素的历史点云数据,并在新的观测点加入时重新遍历所有点,以更新体素平面的不确定性。这是由于计算平面的协方差矩阵时,需要计算法向量对逐个点求导的雅可比矩阵。其中,点p以及点p的协方差矩阵是和观测有关的项(以下简称观测项),q, F, 和U是和平面点集总体分布有关的项(以下简称分布项。q代表点集均值,F和 U是由 SVD 结果构成的矩阵,详细过程请参考论文)。当新的观测加入时,由于雅可比矩阵所包含的分布项会发生变化,需要将每个点再次代入公式,重新进行求导。

这种遍历消耗了大量内存和CPU资源。在一些资源受限的机器人平台上可能导致定位延迟增加,或者没有足够的内存来维护地图,进而影响下游的避障和路径规划等任务。
为了解决以上痛点,光鉴科技创新提出了C3P-VoxelMap,从计算效率、内存效率、算法精度三方面对 VoxelMap 进行了提升。
为了避免重复求导,我们希望将观测项和分布项解耦,使得二者能够分别进行增量更新。
利用矩阵计算的分配律将 U 矩阵分离出来比较容易,难点是如何从B 矩阵分离出q和F。考虑到B矩阵整体不容易分解,我们根据其表达式,从单个元素入手进行考察。

由此可见,B 矩阵第m行n列的元素能够分解成四个形式相似的求和项,以其中一项为例

第一条性质帮助我们提取矩阵元素,第二条性质用来完成矩阵位置交换。
利用这两条性质,我们成功得到了只有观测项的累加形式X。其他各项的推导类似,请参考我们的论文和补充材料。当新的观测点加入时,我们只需将点和协方差映射成上面的累加形式即可完成增量更新。这种紧凑的表示方法避免了针对每个点重新求导,大幅减少了计算量和内存占用。
为了进一步解决bias-variance trade-off难题,我们引入了一种体素合并策略,使其能够动态适应真实世界中的大平面特征。这一步的难点是如何保证合并效率,如果采用暴力搜索的方式,将会影响到算法的实时性。
为此,我们设计了一种基于局部敏感哈希(Locality Sensitive Hash)的合并方法。具有相似平面参数,同时物理距离较近的体素更有机会计算出相同的哈希值,进而被推入同一个 bucket 等待合并。当 bucket 元素达到一定数量时,合并操作被触发,点数最多的体素被选为参考体素,用来作为其它体素合并的比较基准。这样做的原因是,点数多的体素通常平面估计更准确。如果其它体素尝试合入后,点集分布的奇异值仍然满足平面条件,该体素将被允许合入,反之将被拒绝合入。
得益于平面协方差矩阵的紧凑形式,我们能够增量更新合并后的平面。单个体素和跨体素的不确定度更新具有统一的增量形式。因此,合并后的平面仍然具有完备的不确定度表达。通过合并,一个大平面特征只需一个或少量体素即可表示,进一步减少了内存占用。此外,在噪声水平相同的情况下,通过体素合并能够更加准确地估计平面,进而提高SLAM 精度(如下方示意图,理论证明请参考论文V-C小节)。

为了验证C3P-VoxelMap的有效性,我们在公开数据集上进行了充分测试。
在 KITTI 数据集上,相比于非增量式更新方法,C3P-VoxelMap在地图更新阶段实现了 70% 的性能提升。
此外,得益于每个体素的内存消耗与点数无关,即具有常量复杂度,C3P-VoxelMap具备更高的内存效率。
在 UTBM 数据集测试中,C3P-VoxelMap 相比SOTA 方法实现了 20% 的精度提升。
本工作能够在算力受限的平台上(例如树莓派4B),使用3D ToF深度相机实现 500+m2的实时高精度3D SLAM建图与定位,助力扫地机等移动机器人在嵌入式平台上实现高精度三维导航和避障。